
Παναγιώτης Ρουγκάλας
Τελική συμφωνία επετεύχθη μεταξύ τραπεζών και ΕΤΥΚ για τη νέα συλλογική σύμβαση, βάζοντας τέλος σε περίοδο διαβουλεύσεων και ανοίγοντας τον δρόμο για την επίσημη έγκρισή της από τα μέλη του συνδικαλιστικού φορέα την προσεχή Τρίτη.
Η «Κ», όπως είχε γράψει πρώτη ότι επήλθε κατ’ αρχήν συμφωνία στην αρχή της προηγούμενης εβδομάδας, παρουσιάζει επίσης πρώτη το πλήρες περιεχόμενο της συμφωνίας, πριν αυτή τεθεί ενώπιον των εργαζομένων για ψήφιση στις γενικές συνελεύσεις που θα ακολουθήσουν. Πρόκειται για μια συμφωνία-πλαίσιο που καλύπτει την περίοδο 2023–2027 και θεωρείται κομβικής σημασίας, καθώς διασφαλίζει εργασιακή ειρήνη και προβλεψιμότητα για τα επόμενα χρόνια, τόσο για τους εργαζομένους όσο και για τις κυπριακές τράπεζες.
Τα στοιχεία της συλλογικής σύμβασης 2023–2027 περιέχουν ρυθμίσεις για μισθολογικά ζητήματα, ωφελήματα, θεσμικά θέματα και όρους απασχόλησης. Συγκεκριμένα, η συλλογική σύμβαση καλύπτει/ εφαρμόζεται για το σύνολο του προσωπικού που εργοδοτούν οι τράπεζες μέλη του Κυπριακού Εργοδοτικού Συνδέσμου Τραπεζών (ΚΕΣΤ), ενώ σημειώνεται πως, από 1/1/2026 θα ισχύουν οι συνημμένες κλίμακες και θα καλύπτουν όλα τα μέλη του προσωπικού των τραπεζών.
Μπόνους για το προσωπικό
Όλο το προσωπικό έχει συμφωνηθεί να λάβει μπόνους 1.500 ευρώ για τα αποτελέσματα του 2024 μέχρι 30 Ιανουαρίου 2026, άλλα 1.500 ευρώ για τα αποτελέσματα του 2025 μέχρι 30 Ιουνίου 2026 και άλλα 1.500 ευρώ για τα αποτελέσματα του 2026 μέχρι 30 Ιουνίου 2027. Σημειώνεται πως, βάσει των συμφωνηθέντων για τα αποτελέσματα του 2024 τυχόν μπόνους που έχει ήδη δοθεί στους υπαλλήλους θα ληφθεί υπόψιν.
Πέραν από τα μπόνους έχει συμφωνηθεί από την 1η Ιανουαρίου 2026 όλο το προσωπικό να πάρει αύξηση 50 ευρώ στον βασικό μισθό. Από 1η Ιανουαρίου 2027 όλο το προσωπικό θα λάβει 50 ευρώ αύξηση στον βασικό μισθό. Τέλος, έχει συμφωνηθεί, η ετήσια προσαύξηση να παραχωρείται κατά 75%, ενώ το υπόλοιπο 25% μέσα από τη συμφωνία της κάθε τράπεζας και της ΕΤΥΚ.
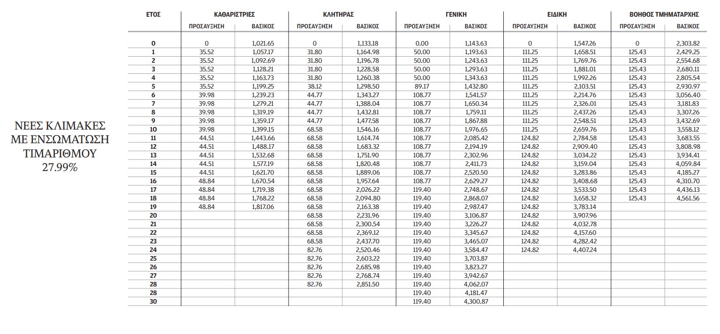
ΝΕΕΣ ΚΛΙΜΑΚΕΣ ΟΡΓΑΝΙΚΩΝ ΘΕΣΕΩΝ ΜΕ ΕΝΣΩΜΑΤΩΣΗ ΤΙΜΑΡΙΘΜΟΥ 27.99%
Τρίτο σημαντικό σκέλος της σύμβασης, αφορά τις ημέρες αδείας. Από την 1η Ιανουαρίου 2026 βάσει της συλλογικής σύμβασης θα αυξηθούν οι άδειες κατά έξι ημέρες σε όλες τις κατηγορίες τραπεζοϋπαλλήλων.
Ανέβηκαν ποσά στα δάνεια
Ίδιες προϋποθέσεις, αλλά αυξάνονται τα ποσά από 1η Ιανουαρίου 2026 για τα δάνεια του προσωπικού. Για στεγαστικό δάνειο ανεβαίνει το ποσό, στις 180 χιλιάδες ευρώ, για συμπληρωματικό δάνειο για ανακαίνιση στις 50 χιλιάδες ευρώ, φοιτητικό δάνειο για κάθε παιδί που σπουδάζει στην Κύπρο μπορεί να φτάσει τα 30 χιλιάδες ευρώ, φοιτητικό δάνειο για παιδί που σπουδάζει στο εξωτερικό τα 40 χιλιάδες ευρώ, για δάνειο αυτοκινήτου στα 20 χιλιάδες ευρώ και για γάμο το δάνειο μπορεί να φτάσει στους τραπεζικούς υπαλλήλους μέχρι 4 μηνιαίους μισθούς.
Άδειες, ΑΤΑ και Ταμεία
Σημαντικές ρυθμίσεις που αφορούν άδειες, παροχές υγείας, εργασιακές συνθήκες και θεσμικά ζητήματα περιλαμβάνει η νέα συμφωνία που αφορά το τραπεζικό προσωπικό. Σε ό,τι αφορά τις άδειες τοκετού, μητρότητας και πατρότητας, προβλέπεται ότι θα καταβάλλονται σύμφωνα με την εκάστοτε ισχύουσα νομοθεσία.
Παράλληλα, δίνεται η δυνατότητα στο προσωπικό να λαμβάνει άδεια άνευ απολαβών για λόγους εκπαίδευσης ή για λόγους υγείας συγγενικών προσώπων. Οι όροι παραχώρησης της συγκεκριμένης άδειας θα καθοριστούν κατόπιν συμφωνίας μεταξύ της ΕΤΥΚ και του ΚΕΣΤ.
Βαρύτητα δόθηκε και στο θέμα της υγειονομικής κάλυψης. Από την 1η Ιανουαρίου 2026, όλοι ανεξαιρέτως οι τραπεζικοί υπάλληλοι θα συμμετέχουν στο Ενιαίο Ταμείο Υγείας. Κάθε μέλος θα έχει τη δυνατότητα να επιλέγει εάν και ποια από τα εξαρτώμενα μέλη του θα καλύπτονται από το Ταμείο Υγείας. Η εισφορά του εργαζομένου για κάθε εξαρτώμενο μέλος ορίζεται στα 7 ευρώ μηνιαίως, ενώ σε περίπτωση που επιθυμεί να καλύψει εργαζόμενο σύζυγο, η εισφορά θα ανέρχεται στο 1,25% του μισθού του συζύγου. Από την πλευρά των τραπεζών, η εισφορά για όλα τα εξαρτώμενα μέλη καθορίζεται επίσης στα 7 ευρώ ανά άτομο. Επιπλέον, από την 1η Ιανουαρίου 2026, οι εισφορές των τραπεζών στο ΤΥΕΤΥΚ θα ανέρχονται στο 2%, ενώ οι εργαζόμενοι θα έχουν τη δυνατότητα επιλογής του δικού τους ποσοστού εισφοράς μεταξύ 1% - 1,5%.
Σε σχέση με την Αυτόματη Τιμαριθμική Αναπροσαρμογή (ΑΤΑ), προβλέπεται ότι για το σύνολο του προσωπικού θα εφαρμόζεται ακριβώς ό,τι ισχύει σήμερα στην κυβέρνηση, τόσο ως προς το ποσοστό όσο και ως προς οποιεσδήποτε μελλοντικές διαφοροποιήσεις. Η συμφωνία περιλαμβάνει επίσης πρόνοια για την τηλεργασία, με τη ρητή αναφορά ότι ο τρόπος εφαρμογής της, καθώς και οι όροι και οι συνθήκες εργασίας, θα καθοριστούν κατόπιν συμφωνίας μεταξύ των δύο πλευρών.
Τέλος, οι συμβαλλόμενες πλευρές δεσμεύονται να προχωρήσουν σε συνολική κωδικοποίηση όλων των υφιστάμενων συμφωνιών, ενώ διευκρινίζεται ότι οποιοδήποτε θέμα δεν καλύπτεται ή δεν τροποποιείται από τη νέα συμφωνία θα συνεχίσει να διέπεται από τις ήδη ισχύουσες συλλογικές συμβάσεις με την ΕΤΥΚ.
Σημειώνεται πως η συμφωνία, την Τρίτη 23/12/2025 θα παρουσιασθεί σε γενικές συνελεύσεις των τραπεζοϋπαλλήλων σ’ όλες τις επαρχίες και οι τραπεζοϋπάλληλοι θα τοποθετηθούν με την ψήφο τους κατά πόσο αποδέχονται – εγκρίνουν τη συμφωνία, ή όχι.
ΝΕΕΣ ΚΛΙΜΑΚΕΣ ΜΕ ΕΝΣΩΜΑΤΩΣΗ ΤΙΜΑΡΙΘΜΟΥ 27.99%






























